MathBits.com Table of Contents logo
Line of Best Fit

A line of best fit  (or "trend" line) is a straight line that best represents the data on a scatter plot. 
This line may pass through some of the points, none of the points, or all of the points.
You can examine lines of best fit with:
1.  paper and pencil only,
2.  a combination of graphing calculator and
     paper and pencil,
3.  or solely with the graphing calculator
.  

   Example:  Is there a relationship between the fat grams and the total calories
in fast food?

Sandwich Total Fat (g) Total Calories
Hamburger 9 260
Cheeseburger 13 320
Quarter Pounder 21 420
Quarter Pounder with Cheese 30 530
Big Mac 31 560
Arch Sandwich Special 31 550
Arch Special with Bacon 34 590
Crispy Chicken 25 500
Fish Fillet 28 560
Grilled Chicken 20 440
Grilled Chicken Light 5 300

Paper and Pencil Solution:

Can we predict the number of total calories based upon the total fat grams?

1.  Prepare a scatter plot of the data on graph paper.

2.  Using a strand of spaghetti, position the spaghetti so that the plotted points are as close to the strand as possible.

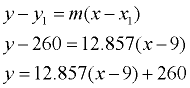
3.  Find two points that you think will be on the "best-fit" line. 

4.  We are choosing the points (9, 260) and (30, 530). 
You may choose different points. 

5.  Calculate the slope of the line through your two points (rounded to three decimal places).

s1math1

6.  Write the equation of the line. 

s1math2

7.  This equation can now be used to predict information that was not plotted in the scatter plot. 
Question: Predict the total calories based upon 22 grams of fat.

s1math3

ANS: 427.141 calories

Bibs
Our assistant, Bibs, helps position
the strand of spaghetti.

graphspaghetti
Choose two points that you think will
form the line of best fit.

Predicting:
- If you are looking for values that fall within the plotted values, you are interpolating.
- If you are looking for values that fall outside the plotted values, you are extrapolating.  Be careful when extrapolating.  The further away from the plotted values you go, the less reliable is your prediction.

 

In step 4 above, we chose two points to form our line-of-best-fit.  It is possible, however, that someone else will choose a different set of points, and their equation will be slightly different. 

Your answer will be considered CORRECT, as long as your calculations are correct for the two points that you chose.  So, if each answer may be slightly different, which answer is the REAL "line-of-best-fit?

So who has the REAL "line-of-best-fit"?

To answer this question, we need the assistance of a graphing calculator.  We saw that different people may choose different points and arrive at slightly different equations for their lines of best fit.  All of them are "correct", but which one is actually the "best"?  Simply stated, the graphing calculator has the capability of determining which line will "actually" represent the REAL line-of-best-fit.

Graphing Calculator Solution:

Can we predict the number of total calories based upon the total fat grams?
1.  Enter the data in the calculator lists.  Place the data in L1 and L2

    STAT, #1Edit, type values into the lists

lin18
 

2.  Prepare a scatter plot of the data.  Set up for the scatterplot.
2nd StatPlot - choices shown at right.
Choose
ZOOM #9 ZoomStat. Graph shown below.
                     lin9
 

 lin10

3.  Have the calculator determine the line of best fit.
STAT → CALC #4 LinReg(ax+b)

Include the parameters L1, L2, Y1.
(Y1 comes from VARS → YVARS, #Function, Y1)

                      graphlin
You now have the values of a and b needed to write the equation of the line of best fit.  See values at the right.
            y = 11.73128088
x + 193.8521475
 

lin11

lin12

4.  Graph the line of best fit.  Simply hit GRAPH.

To get a predicted value within the window, hit TRACE, up arrow, and type the desired value. 

lin13
The screen above shows x = 22.
 

lin14

Question: Predict the total calories based upon 22 grams of fat.
ANS: 451.940 calories

Compare this answer with the answer we got by hand.

 

divider
Finding Your Way Around TABLE of  CONTENTS